Упражнение 466 ГДЗ Колягин Ткачёва 7 класс (Алгебра)
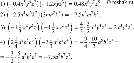
Выполнить умножение одночленов: 1) (-0,4x^5 y^6 z^2 )(-1,2xyz^3 ); 2) (-2,5n^4 m^5 k^2 )(3nm^2 k^5 ); 3) (-1 1/3 x^2 y^2 z)(-1 1/2 xy^2 z^3 );


Ниже вариант решения задания из учебника Колягин, Ткачёва, Фёдорова 7 класс, Просвещение:
Выполнить умножение одночленов:
1) (-0,4x^5 y^6 z^2 )(-1,2xyz^3 );
2) (-2,5n^4 m^5 k^2 )(3nm^2 k^5 );
3) (-1 1/3 x^2 y^2 z)(-1 1/2 xy^2 z^3 );
4) (2 1/4 a^2 b^5 c^3 )(-3 1/3 a^3 b^2 c^4 ).
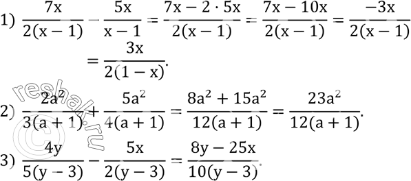
Выполнить действия:
1) 7x/2(x-1) -5x/(x-1);
2) (2a^2)/3(a+1) +(5a^2)/4(a+1) ;
3) 4y/(5(y-3))-5x/2(y-3) .
