Упражнение 467 ГДЗ Колягин Ткачёва 7 класс (Алгебра)
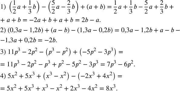
Выполнить сложение и вычитание многочленов: 1) (1/2 a+1/3 b)-(5/2 a-2/3 b)+(a+b); 2) (0,3a-1,2b)+(a-b)-(1,3a-0,2b); 3) 11p^3-2p^2-(p^3-p^2 )+(-5p^2-3p^3 ); 4) 5x^2+5x^3+(x^3-x^2 )-(-2x^3+4x^2 ).


Ниже вариант решения задания из учебника Колягин, Ткачёва, Фёдорова 7 класс, Просвещение:
Выполнить сложение и вычитание многочленов:
1) (1/2 a+1/3 b)-(5/2 a-2/3 b)+(a+b);
2) (0,3a-1,2b)+(a-b)-(1,3a-0,2b);
3) 11p^3-2p^2-(p^3-p^2 )+(-5p^2-3p^3 );
4) 5x^2+5x^3+(x^3-x^2 )-(-2x^3+4x^2 ).
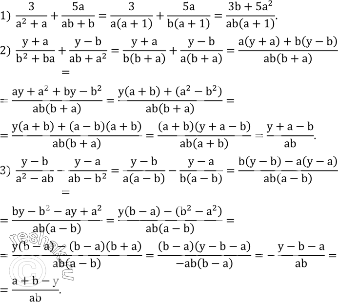
Выполнить действия:
1) 3/(a^2+a)+5a/(ab+b);
2) (y+a)/(b^2+ba)+(y-b)/(ab+a^2 );
3) (y-b)/(a^2-ab)-(y-a)/(ab-b^2 ).
