Упражнение 490 ГДЗ Колягин Ткачёва 7 класс (Алгебра)
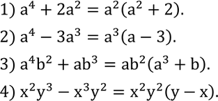
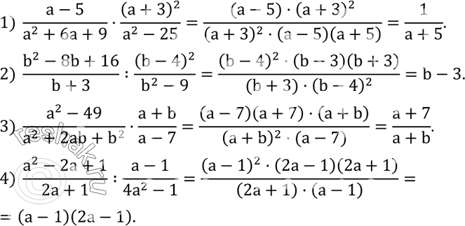
Вынести за скобки общий множитель: 1) a^4+2a^2; 2) a^4-3a^3; 3) a^4 b^2+ab^3; 4) x^2 y^3-x^3 y^2. Упростить: 1) (a-5)/(a^2+6a+9)•(a+3)^2/(a^2-25); 2) (b^2-8b+16)/(b+3) :(b-4)^2/(b^2-9);


Ниже вариант решения задания из учебника Колягин, Ткачёва, Фёдорова 7 класс, Просвещение:
Вынести за скобки общий множитель:
1) a^4+2a^2;
2) a^4-3a^3;
3) a^4 b^2+ab^3;
4) x^2 y^3-x^3 y^2.
Упростить:
1) (a-5)/(a^2+6a+9)•(a+3)^2/(a^2-25);
2) (b^2-8b+16)/(b+3) :(b-4)^2/(b^2-9);
3) (a^2-49)/(a^2+2ab+b^2 )•(a+b)/(a-7);
4) (a^2-2a+1)/(2a+1) :(a-1)/(4a^2-1).
