Упражнение 509 ГДЗ Колягин Ткачёва 7 класс (Алгебра)
Разложить на множители: 1) 18a^2-27ab+14ac-21bc; 2) 10x^2+10xy+5x+5y; 3) 35ax+24xy-20ay-42x^2; 4) 48xz^2+32xy^2-15yz^2-10y^3. Найти значение выражения: 1) 2x/(4x^2-y^2 )-1/(2x+y)-y/(4x^2-y^2 ) при x=0,37; y=-1,4;


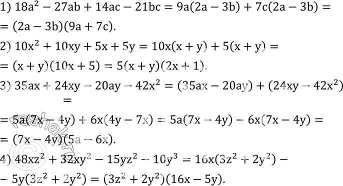
Ниже вариант решения задания из учебника Колягин, Ткачёва, Фёдорова 7 класс, Просвещение:
Разложить на множители:
1) 18a^2-27ab+14ac-21bc;
2) 10x^2+10xy+5x+5y;
3) 35ax+24xy-20ay-42x^2;
4) 48xz^2+32xy^2-15yz^2-10y^3.
Найти значение выражения:
1) 2x/(4x^2-y^2 )-1/(2x+y)-y/(4x^2-y^2 ) при x=0,37; y=-1,4;
2) (x^2-1)/x•(1/(x-1)-1/(1+x)+1) при x=1/2.
