Упражнение 506 ГДЗ Колягин Ткачёва 7 класс (Алгебра)
Разложить на множители: 1) a+b+c(a+b); 2) m-n+p(m-n); 3) x+3a(x+y)+y; 4) x+2a(x-y)-y. Решить уравнение: 1) 2x+(6x-5)/7=(8x+7)/3; 2) (x+5)/24-(3x-8)/16=1; 3) 2x+1+(2x-1)/6=(7x-13)/4; 4) 3(2x-2,5)/5-2x+2,5=(2-x)/2.


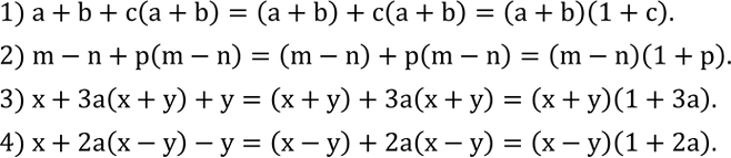
Ниже вариант решения задания из учебника Колягин, Ткачёва, Фёдорова 7 класс, Просвещение:
Разложить на множители:
1) a+b+c(a+b);
2) m-n+p(m-n);
3) x+3a(x+y)+y;
4) x+2a(x-y)-y.
Решить уравнение:
1) 2x+(6x-5)/7=(8x+7)/3;
2) (x+5)/24-(3x-8)/16=1;
3) 2x+1+(2x-1)/6=(7x-13)/4;
4) 3(2x-2,5)/5-2x+2,5=(2-x)/2.
