Упражнение 512 ГДЗ Колягин Ткачёва 7 класс (Алгебра)
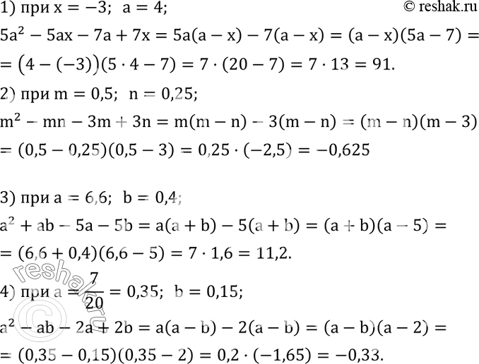
Найти значение выражения: 1) 5a^2-5ax-7a+7x при x=-3,a=4; 2) m^2-mn-3m+3n при m=0,5,n=0,25; 3) a^2+ab-5a-5b при a=6,6,b=0,4; 4) a^2-ab-2a+2b при a=7/20,b=0,15. Выполнить действия:


Ниже вариант решения задания из учебника Колягин, Ткачёва, Фёдорова 7 класс, Просвещение:
Найти значение выражения:
1) 5a^2-5ax-7a+7x при x=-3,a=4;
2) m^2-mn-3m+3n при m=0,5,n=0,25;
3) a^2+ab-5a-5b при a=6,6,b=0,4;
4) a^2-ab-2a+2b при a=7/20,b=0,15.
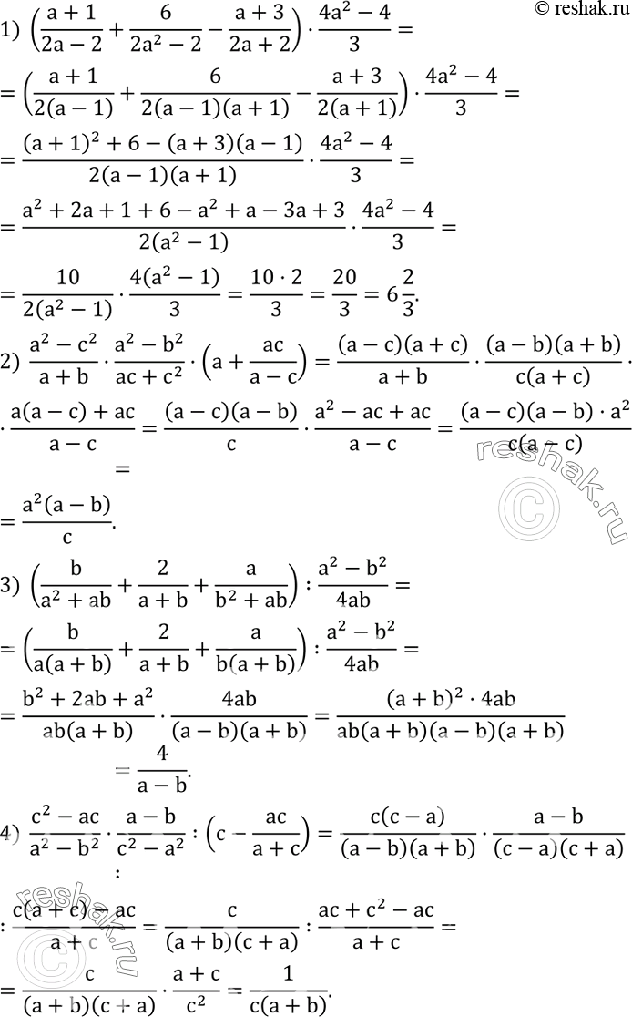
Выполнить действия:
1) ((a+1)/(2a-2)+6/(2a^2-2)-(a+3)/(2a+2))•(4a^2-4)/3;
2) (a^2-c^2)/(a+b)•(a^2-b^2)/(ac+c^2 )•(a+ac/(a-c));
3) (b/(a^2+ab)+2/(a+b)+a/(b^2+ab)) :(a^2-b^2)/4ab;
4) (c^2-ac)/(a^2-b^2 )•(a-b)/(c^2-a^2 ) :(c-ac/(a+c)).
