Упражнение 510 ГДЗ Колягин Ткачёва 7 класс (Алгебра)
Разложить многочлен на множители и результат проверить умножением: 1) 16ab^2-5b^2 c-10c^3+32ac^2; 2) 6mnk^2+15m^2 k-14n^3 k-35mn^2; 3) -28ac+35c^2-10cx+8ax; 4) -24bx-15c^2+40bc+9cx. Выполнить действия:



Ниже вариант решения задания из учебника Колягин, Ткачёва, Фёдорова 7 класс, Просвещение:
Разложить многочлен на множители и результат проверить умножением:
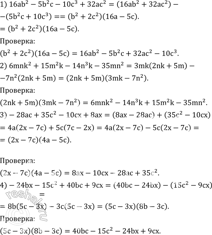
1) 16ab^2-5b^2 c-10c^3+32ac^2;
2) 6mnk^2+15m^2 k-14n^3 k-35mn^2;
3) -28ac+35c^2-10cx+8ax;
4) -24bx-15c^2+40bc+9cx.
Выполнить действия:
1) (a+b)/a-a/(a-b)-b^2/(a^2-ab);
2) (5b-1)/(3b^2-3)+(b+2)/(2b+2)-(b+1)/(b-1);
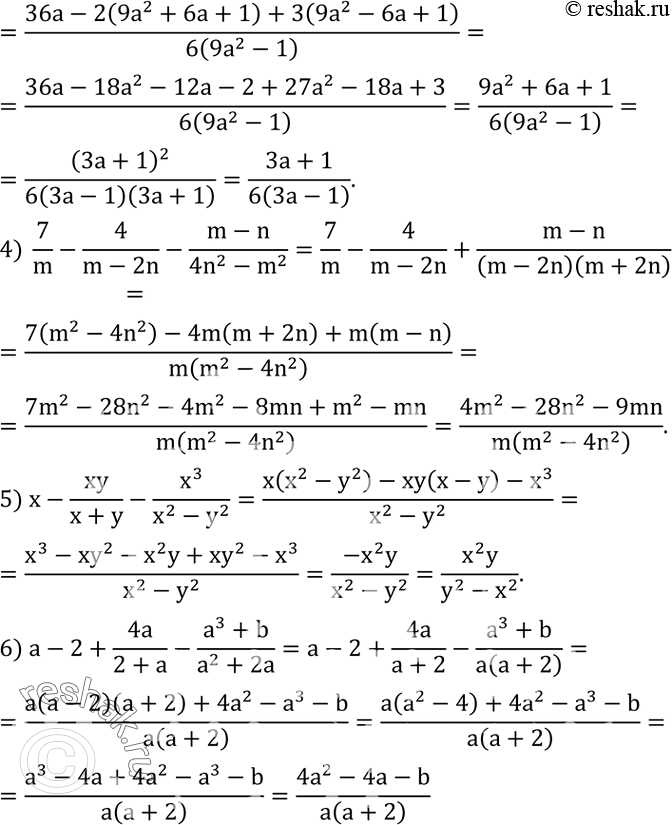
3) 6a/(9a^2-1)+(3a+1)/(3-9a)+(3a-1)/(6a+2);
4) 7/m-4/(m-2n)-(m-n)/(4n^2-m^2 );
5) x-xy/(x+y)-x^3/(x^2-y^2 );
6) a-2+4a/(2+a)-(a^3+b)/(a^2+2a).
