Упражнение 507 ГДЗ Колягин Ткачёва 7 класс (Алгебра)
Разложить на множители: 1) 2m(m-n)+m-n; 2) 4q(p-1)+p-1; 3) 2m(m-n)+n-m; 4) 4q(p-1)+1-p. Найти неизвестное число x из пропорции: 1) a/x=2b/3; 2) 4a/3b=2x/a;


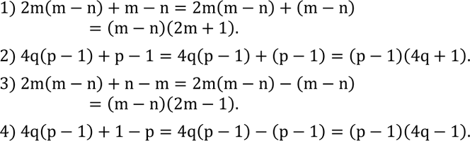
Ниже вариант решения задания из учебника Колягин, Ткачёва, Фёдорова 7 класс, Просвещение:
Разложить на множители:
1) 2m(m-n)+m-n;
2) 4q(p-1)+p-1;
3) 2m(m-n)+n-m;
4) 4q(p-1)+1-p.
Найти неизвестное число x из пропорции:
1) a/x=2b/3;
2) 4a/3b=2x/a;
3) x/(a+b)=a/(a+b)^2 ;
4) (a+1)/(a-1)=(a^2-1)/ax.
