Упражнение 511 ГДЗ Колягин Ткачёва 7 класс (Алгебра)
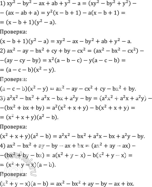
Разложить многочлен на множители и результат проверить умножением: 1) xy^2-by^2-ax+ab+y^2-a; 2) ax^2-ay-bx^2+cy+by-cx^2; 3) a^2 x^2-bx^2+a^2 x-bx+a^2 y-by; 4) ax^2-bx^2+ay-by-ax+bx. Выполнить действия:


Ниже вариант решения задания из учебника Колягин, Ткачёва, Фёдорова 7 класс, Просвещение:
Разложить многочлен на множители и результат проверить умножением:
1) xy^2-by^2-ax+ab+y^2-a;
2) ax^2-ay-bx^2+cy+by-cx^2;
3) a^2 x^2-bx^2+a^2 x-bx+a^2 y-by;
4) ax^2-bx^2+ay-by-ax+bx.
Выполнить действия:
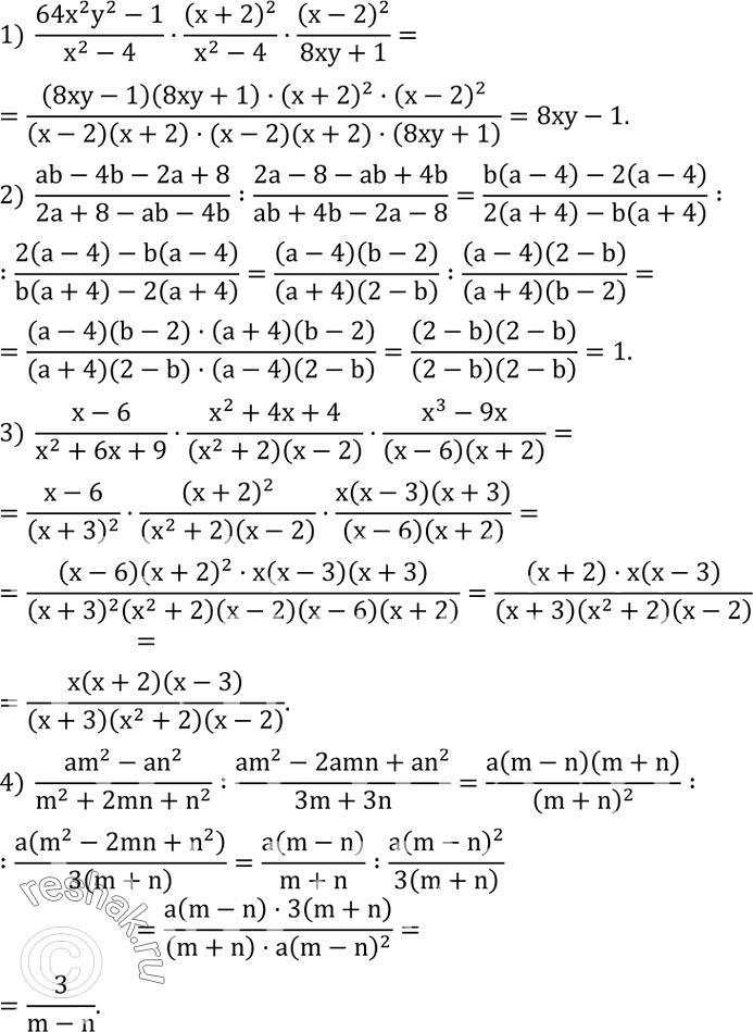
1) (64x^2 y^2-1)/(x^2-4)•(x+2)^2/(x^2-4)•(x-2)^2/(8xy+1);
2) (ab-4b-2a+8)/(2a+8-ab-4b) :(2a-8-ab+4b)/(ab+4b-2a-8);
3) (x-6)/(x^2+6x+9)•(x^2+4x+4)/(x^2+2)(x-2) •(x^3-9x)/(x-6)(x+2) ;
4) (am^2-an^2)/(m^2+2mn+n^2 ) :(am^2-2amn+an^2)/(3m+3n).
