Упражнение 515 ГДЗ Колягин Ткачёва 7 класс (Алгебра)
Разделить разность многочленов x^3-3x^2 и 2x^2-6x на x-2. Собственная скорость моторной лодки v километров в час, а скорость течения реки v_1 километров в час.


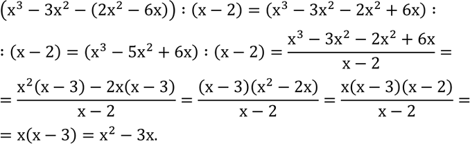
Ниже вариант решения задания из учебника Колягин, Ткачёва, Фёдорова 7 класс, Просвещение:
Разделить разность многочленов x^3-3x^2 и 2x^2-6x на x-2.
Собственная скорость моторной лодки v километров в час, а скорость течения реки v_1 километров в час. Двигаясь по течению лодка прошла s километров. Какое расстояние пройдет за это же время моторная лодка при движении против течения?
