Вводные упражнения 28 ГДЗ Колягин Ткачёва 7 класс (Алгебра)
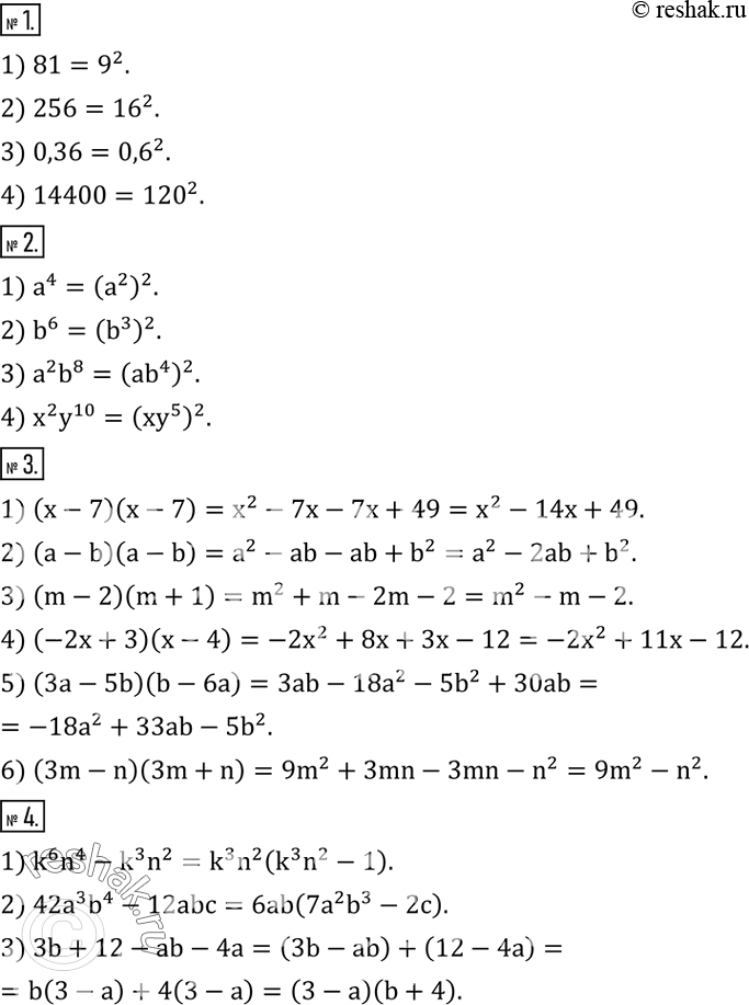
(Устно.) Записать в виде квадрата числа: 1) 81; 2) 256; 3) 0,36; 4) 14400. 2. Представить в виде квадрата одночлена: 1) a^4;

Ниже вариант решения задания из учебника Колягин, Ткачёва, Фёдорова 7 класс, Просвещение:
(Устно.) Записать в виде квадрата числа:
1) 81; 2) 256; 3) 0,36; 4) 14400.
2. Представить в виде квадрата одночлена:
1) a^4; 2) b^6; 3) a^2 b^8; 4) x^2 y^10.
3. Записать в виде многочлена стандартного вида результат умножения:
1) (x-7)(x-7); 2) (a-b)(a-b); 3) (m-2)(m+1);
4) (-2x+3)(x-4); 5) (3a-5b)(b-6a); 6) (3m-n)(3m+n).
4. Разложить на множители:
1) k^6 n^4-k^3 n^2; 2) 42a^3 b^4-12abc; 3) 3b+12-ab-4a.
