Упражнение 517 ГДЗ Колягин Ткачёва 7 класс (Алгебра)
Разложить многочлен на множители: 1) a^3+2a^2-3; 2) x^3-7x+6; 3) a^4+2a^3+1; 4) 2a^4-a^2-1. Два оператора, работая вместе, набирают рукопись за a часов.


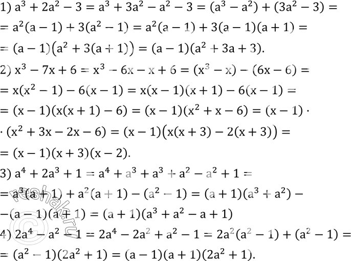
Ниже вариант решения задания из учебника Колягин, Ткачёва, Фёдорова 7 класс, Просвещение:
Разложить многочлен на множители:
1) a^3+2a^2-3;
2) x^3-7x+6;
3) a^4+2a^3+1;
4) 2a^4-a^2-1.
Два оператора, работая вместе, набирают рукопись за a часов. Один из них могу бы выполнить эту работу за b часов. За какое время мог бы набрать рукопись другой оператор?
