Упражнение 519 ГДЗ Колягин Ткачёва 7 класс (Алгебра)
Разложить на множители: 1) 25x^2-9; 2) 4a^2-9; 3) 64y^2-36x^2; 4) 81a^2-16b^2. Давление p бензина на дно цистерны равно 69 580 Па (паскалей), плотность ?


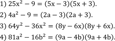
Ниже вариант решения задания из учебника Колягин, Ткачёва, Фёдорова 7 класс, Просвещение:
Разложить на множители:
1) 25x^2-9;
2) 4a^2-9;
3) 64y^2-36x^2;
4) 81a^2-16b^2.
Давление p бензина на дно цистерны равно 69 580 Па (паскалей), плотность ? бензина равна 710 кг/м^3. С помощью микрокалькулятора найти высоту h цистерны с бензином (выраженную в м), если p=g?h, где g=9,8 м/с^2.
