Упражнение 520 ГДЗ Колягин Ткачёва 7 класс (Алгебра)
Разложить на множители: 1) 1/9 y^2-16/25 x^2; 2) 4/9 a^2-1/16 b^2; 3) 0,25a^2-0,49b^2; 4) 0,09x^2-0,16y^2. Сократить дробь: 1) (2ab-b)/(8a^3-1); 2) (27a^3+b^3)/(3ab+b^2 );


Ниже вариант решения задания из учебника Колягин, Ткачёва, Фёдорова 7 класс, Просвещение:
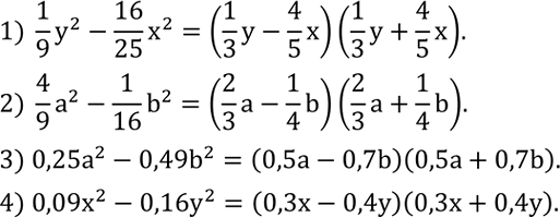
Разложить на множители:
1) 1/9 y^2-16/25 x^2;
2) 4/9 a^2-1/16 b^2;
3) 0,25a^2-0,49b^2;
4) 0,09x^2-0,16y^2.
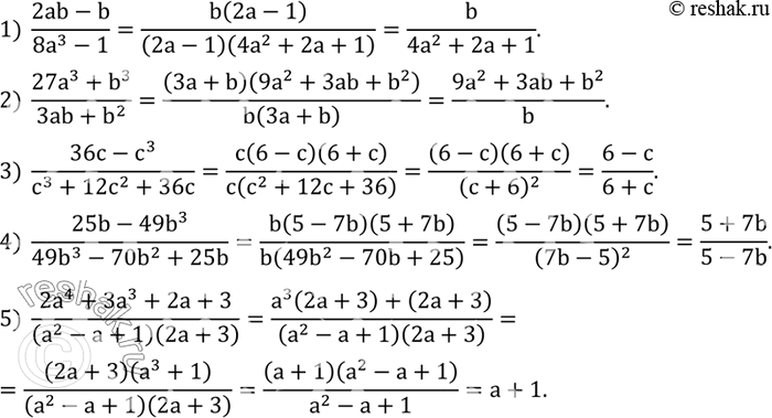
Сократить дробь:
1) (2ab-b)/(8a^3-1);
2) (27a^3+b^3)/(3ab+b^2 );
3) (36c-c^3)/(c^3+12c^2+36c);
4) (25b-49b^3)/(49b^3-70b^2+25b);
5) (2a^4+3a^3+2a+3)/(a^2-a+1)(2a+3) .
