Упражнение 523 ГДЗ Колягин Ткачёва 7 класс (Алгебра)
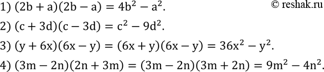
Выполнить умножение: 1) (2b+a)(2b-a); 2) (c+3d)(c-3d); 3) (y+6x)(6x-y); 4) (3m-2n)(2n+3m). Назвать абсциссу и ординату точки: (1;0); (4;0); (0;2); (-6;0); (0;-7); (0;0).


Ниже вариант решения задания из учебника Колягин, Ткачёва, Фёдорова 7 класс, Просвещение:
Выполнить умножение:
1) (2b+a)(2b-a);
2) (c+3d)(c-3d);
3) (y+6x)(6x-y);
4) (3m-2n)(2n+3m).
Назвать абсциссу и ординату точки: (1;0); (4;0); (0;2); (-6;0); (0;-7); (0;0).
