Упражнение 550 ГДЗ Колягин Ткачёва 7 класс (Алгебра)
Разложить на множители многочлен: 1)-a^2-2a-1; 2)-9+6b-b^2; 3)-2a^2+8ab-8b^2; 4)-12ab-3a^2-12b^2. Дана функция y=x^3-1. Выяснить, принадлежит ли графику этой функции точка с координатами: 1) (-1;1);


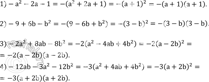
Ниже вариант решения задания из учебника Колягин, Ткачёва, Фёдорова 7 класс, Просвещение:
Разложить на множители многочлен:
1)-a^2-2a-1;
2)-9+6b-b^2;
3)-2a^2+8ab-8b^2;
4)-12ab-3a^2-12b^2.
Дана функция y=x^3-1. Выяснить, принадлежит ли графику этой функции точка с координатами:
1) (-1;1); 2) (1;0); 3) (3;27); 4) (-2;7).
