Упражнение 551 ГДЗ Колягин Ткачёва 7 класс (Алгебра)
Решить уравнение: 1) 16x^2-(4x-5)^2=15; 2) 64x^2-(3-8x)^2=87; 3)-5x(x-3)+5(x-1)^2=-20; 4) (2x-3)^2-(2x+3)^2=12. Одна сторона прямоугольника равна x см, другая сторона на 3 см больше.


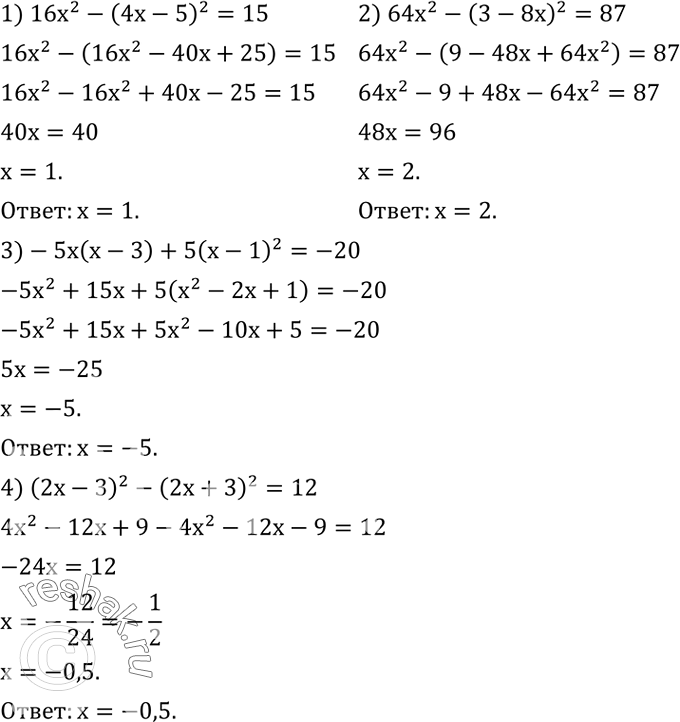
Ниже вариант решения задания из учебника Колягин, Ткачёва, Фёдорова 7 класс, Просвещение:
Решить уравнение:
1) 16x^2-(4x-5)^2=15;
2) 64x^2-(3-8x)^2=87;
3)-5x(x-3)+5(x-1)^2=-20;
4) (2x-3)^2-(2x+3)^2=12.
Одна сторона прямоугольника равна x см, другая сторона на 3 см больше. Записать формулы периметра P и площади S этого прямоугольника.
1) Найти значение каждой из функций P(x) и S(x) при x=5, x=2,1.
2) При каком значении x периметр этого прямоугольника будет равен 38 см, 46 см?
