Упражнение 566 ГДЗ Колягин Ткачёва 7 класс (Алгебра)
Доказать равенство: 1) x^2+2x-y^2+2y=(x+y)(x-y+2); 2) a^2-2b-a-4b^2=(a+2b)(a-2b-1). Масса m тела прямо пропорциональна его объему V. Устно найти коэффициент пропорциональности p из данной таблицы и заполнить таблицу.


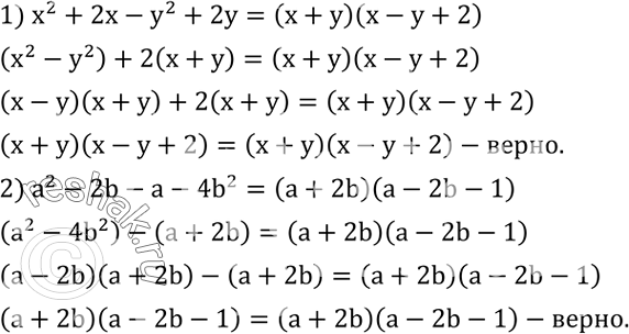
Ниже вариант решения задания из учебника Колягин, Ткачёва, Фёдорова 7 класс, Просвещение:
Доказать равенство:
1) x^2+2x-y^2+2y=(x+y)(x-y+2);
2) a^2-2b-a-4b^2=(a+2b)(a-2b-1).
Масса m тела прямо пропорциональна его объему V. Устно найти коэффициент пропорциональности p из данной таблицы и заполнить таблицу.
