Упражнение 561 ГДЗ Колягин Ткачёва 7 класс (Алгебра)
Разложить на множители: 1) (x^2+1)^2-4x^2; 2) (x^2+2x)^2-1; 3) 4y^2-(y-c)^2; 4) 81-(y^2+6y)^2. Построить график функции, заданной формулой y=-1,5x. Найти по графику: 1) значение y, соответствующее значению x, равному 1;


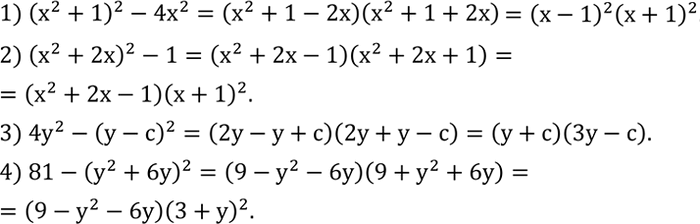
Ниже вариант решения задания из учебника Колягин, Ткачёва, Фёдорова 7 класс, Просвещение:
Разложить на множители:
1) (x^2+1)^2-4x^2;
2) (x^2+2x)^2-1;
3) 4y^2-(y-c)^2;
4) 81-(y^2+6y)^2.
Построить график функции, заданной формулой y=-1,5x. Найти по графику:
1) значение y, соответствующее значению x, равному 1; 0; 2; 3;
2) значение x, если значение y равно -3; 4,5; 6;
3) несколько целых значений x, при которых значения y положительны (отрицательны).
