Упражнение 567 ГДЗ Колягин Ткачёва 7 класс (Алгебра)
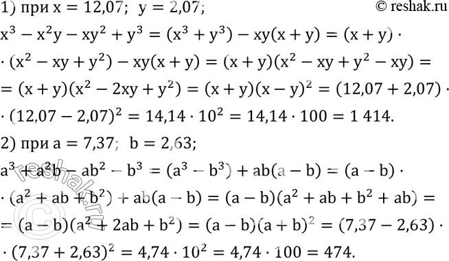
Решить уравнение: 1) x^3-x^2 y-xy^2+y^3 при x=12,07; y=2,07; 2) a^3+a^2 b-ab^2-b^3 при a=7,37; b=2,63. Тело, двигаясь равномерно, прошло путь AB за 5 с.


Ниже вариант решения задания из учебника Колягин, Ткачёва, Фёдорова 7 класс, Просвещение:
Решить уравнение:
1) x^3-x^2 y-xy^2+y^3 при x=12,07; y=2,07;
2) a^3+a^2 b-ab^2-b^3 при a=7,37; b=2,63.
Тело, двигаясь равномерно, прошло путь AB за 5 с. Двигаясь обратно, оно увеличило скорость и прошло путь BA за 2,5 с. Во сколько раз увеличилась скорость движения тела на обратном пути?
