Упражнение 562 ГДЗ Колягин Ткачёва 7 класс (Алгебра)
Разложить на множители: 1) (a^2+2ab+b^2 )-c^2; 2) 1-(x^2-2xy+y^2 ); 3) 1-a^2-2ab-b^2; 4) 4-x^2-2xy-y^2. Построить график функции, заданной формулой y=0,2x. Найти по графику:


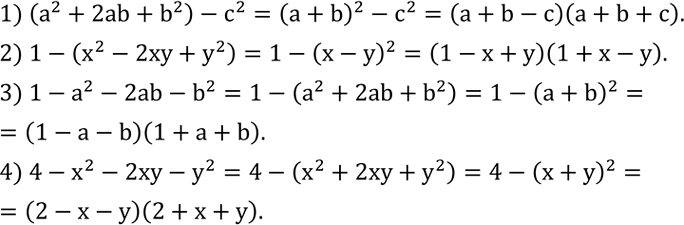
Ниже вариант решения задания из учебника Колягин, Ткачёва, Фёдорова 7 класс, Просвещение:
Разложить на множители:
1) (a^2+2ab+b^2 )-c^2;
2) 1-(x^2-2xy+y^2 );
3) 1-a^2-2ab-b^2;
4) 4-x^2-2xy-y^2.
Построить график функции, заданной формулой y=0,2x. Найти по графику:
1) значение y соответствующее значению x, равному -5; 0; 5;
2) значение x, если значение функции равно -2; 0; 2;
3) несколько значений x, при которых значения y отрицательны (положительны).
