Упражнение 571 ГДЗ Колягин Ткачёва 7 класс (Алгебра)
Используя формулы суммы или разности кубов, упростить: 1) (a-2)(a^2+2a+4); 2) (b+x)(b^2-bx+x^2 ); 3) (2a+3)(4a^2-6a+9); 4) (a^2-1)(a^4+a^2+1). Зависимость между переменными x и y выражена формулой y=kx.


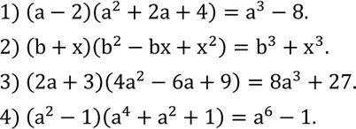
Ниже вариант решения задания из учебника Колягин, Ткачёва, Фёдорова 7 класс, Просвещение:
Используя формулы суммы или разности кубов, упростить:
1) (a-2)(a^2+2a+4);
2) (b+x)(b^2-bx+x^2 );
3) (2a+3)(4a^2-6a+9);
4) (a^2-1)(a^4+a^2+1).
Зависимость между переменными x и y выражена формулой y=kx. Определить k, если y=-5 при x=2,5.
