Упражнение 563 ГДЗ Колягин Ткачёва 7 класс (Алгебра)
Разложить на множители: 1) a^2-b^2+a+b; 2) a^2-b^2-a-b; 3) x-y-x^2+y^2; 4) x^3+x^2-x-1; 5) m^5-m^3+m^2-1; 6) x^4-x^3+x-1. Построить график функции и указать, внутри каких координатных углов расположен этот график:



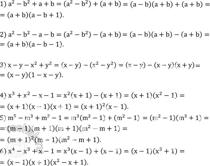
Ниже вариант решения задания из учебника Колягин, Ткачёва, Фёдорова 7 класс, Просвещение:
Разложить на множители:
1) a^2-b^2+a+b;
2) a^2-b^2-a-b;
3) x-y-x^2+y^2;
4) x^3+x^2-x-1;
5) m^5-m^3+m^2-1;
6) x^4-x^3+x-1.
Построить график функции и указать, внутри каких координатных углов расположен этот график:
1) y=1/3 x; 2) y=-1/3 x; 3) y=4,5x; 4) y=-4,5x.
