Упражнение 572 ГДЗ Колягин Ткачёва 7 класс (Алгебра)
Разложить на множители: 1) 27a^3-b^3; 2) x^3 y^3+64; 3) 8m^3+n^9; 4) c^6-125d^3. Прямая OA проходит через начало координат и точку A (0,5;7).


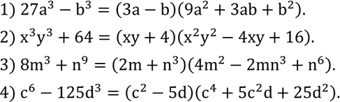
Ниже вариант решения задания из учебника Колягин, Ткачёва, Фёдорова 7 класс, Просвещение:
Разложить на множители:
1) 27a^3-b^3;
2) x^3 y^3+64;
3) 8m^3+n^9;
4) c^6-125d^3.
Прямая OA проходит через начало координат и точку A (0,5;7). Графиком какой из следующих функций является эта прямая: y=7x, y=-14x, y=14x?
