Упражнение 573 ГДЗ Колягин Ткачёва 7 класс (Алгебра)
Разложить на множители трехчлен: 1) x^3+x^2-12; 2) a^3-7a+6. Построить график функции y=kx, если известно, что ему принадлежит точка B: 1) B (2;-3);



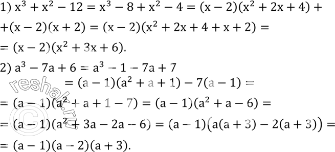
Ниже вариант решения задания из учебника Колягин, Ткачёва, Фёдорова 7 класс, Просвещение:
Разложить на множители трехчлен:
1) x^3+x^2-12;
2) a^3-7a+6.
Построить график функции y=kx, если известно, что ему принадлежит точка B: 1) B (2;-3); 2) B (3 1/3; -2). График какой из этих функций проходит через точку M (-10; 15)?
