Упражнение 621 ГДЗ Колягин Ткачёва 7 класс (Алгебра)
Дана функция y=x^3-1. Выяснить, принадлежит ли графику этой функции точка с координатами: 1) (-1;1); 2) (1;0); 3) (3;27); 4) (-2;7).Найти все пары (x;y) натуральных чисел, которые являются решениями уравнения:


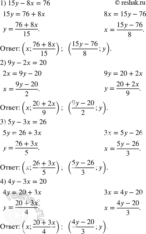
Ниже вариант решения задания из учебника Колягин, Ткачёва, Фёдорова 7 класс, Просвещение:
Дана функция y=x^3-1. Выяснить, принадлежит ли графику этой функции точка с координатами:
1) (-1;1); 2) (1;0); 3) (3;27); 4) (-2;7).
Найти все пары (x;y) натуральных чисел, которые являются решениями уравнения:
1) 15y-8x=76;
2) 9y-2x=20;
3) 5y-3x=26;
4) 4y-3x=20.
