Упражнение 622 ГДЗ Колягин Ткачёва 7 класс (Алгебра)
Одна сторона прямоугольника равна x см, другая сторона на 3 см больше. Записать формулы периметра P и площади S этого прямоугольника.


Ниже вариант решения задания из учебника Колягин, Ткачёва, Фёдорова 7 класс, Просвещение:
Одна сторона прямоугольника равна x см, другая сторона на 3 см больше. Записать формулы периметра P и площади S этого прямоугольника.
1) Найти значение каждой из функций P(x) и S(x) при x=5, x=2,1.
2) При каком значении x периметр этого прямоугольника будет равен 38 см, 46 см?
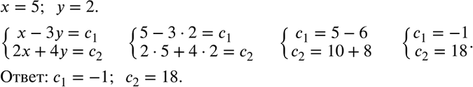
Дана система уравнений
{(x-3y=c_1
2x+4y=c_2 )+
Известно, что пара чисел x=5, y=2 является ее решением. Найти c_1 и c_2.
