Упражнение 626 ГДЗ Колягин Ткачёва 7 класс (Алгебра)
График функции - ломаная EFKLM, где E (-1;1), F (2;-2), K (5;-2), L (6;-3), M (7;-6). 1) Построить этот график. 2) По графику найти натуральные значения x, при которых значение функции равно -2.


Ниже вариант решения задания из учебника Колягин, Ткачёва, Фёдорова 7 класс, Просвещение:
График функции - ломаная EFKLM, где E (-1;1), F (2;-2), K (5;-2), L (6;-3), M (7;-6).
1) Построить этот график.
2) По графику найти натуральные значения x, при которых значение функции равно -2.
3) По графику найти целые значения x, при которых значение функции больше -2.
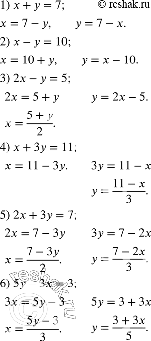
В каждом из уравнений выразить одно неизвестное через другое:
1) x+y=7;
2) x-y=10;
3) 2x-y=5;
4) x+3y=11;
5) 2x+3y=7;
6) 5y-3x=3.
