Упражнение 623 ГДЗ Колягин Ткачёва 7 класс (Алгебра)
Плотность гранита составляет 2600 кг/м^3. Выразить массу m как функцию от его объема V. 1) Найти значение m при V=1,5 м^3;


Ниже вариант решения задания из учебника Колягин, Ткачёва, Фёдорова 7 класс, Просвещение:
Плотность гранита составляет 2600 кг/м^3. Выразить массу m как функцию от его объема V.
1) Найти значение m при V=1,5 м^3; V=10 м^3.
2) Каков должен быть объем гранита, чтобы его масса была 5,2 ц; 7,8 т?
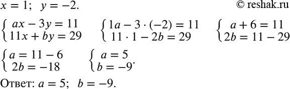
Дана система уравнений
{(ax-3y=11
11x+by=29)+
Известно, что пара чисел x=1, y=-2 является ее решением. Найти a и b.
