Упражнение 706 ГДЗ Колягин Ткачёва 7 класс (Алгебра)
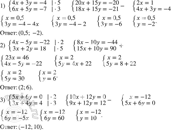
Способом алгебраического сложения решить систему уравнений: 1) {(4x+3y=-4 6x+5y=-7)+ 2) {(4x-5y=-22 3x+2y=18)+ 3) {(5x+6y=0 3x+4y=4)+ На стол бросают 2 игральных тетраэдра (серый и белый), на гранях каждого из которых точками обозначены числа от 1 до 4 (рис.45).


Ниже вариант решения задания из учебника Колягин, Ткачёва, Фёдорова 7 класс, Просвещение:
Способом алгебраического сложения решить систему уравнений:
1) {(4x+3y=-4
6x+5y=-7)+
2) {(4x-5y=-22
3x+2y=18)+
3) {(5x+6y=0
3x+4y=4)+
На стол бросают 2 игральных тетраэдра (серый и белый), на гранях каждого из которых точками обозначены числа от 1 до 4 (рис.45). Сколько различных пар чисел может появиться на гранях этих тетраэдров, соприкасающихся с поверхностью стола?
