Упражнение 704 ГДЗ Колягин Ткачёва 7 класс (Алгебра)
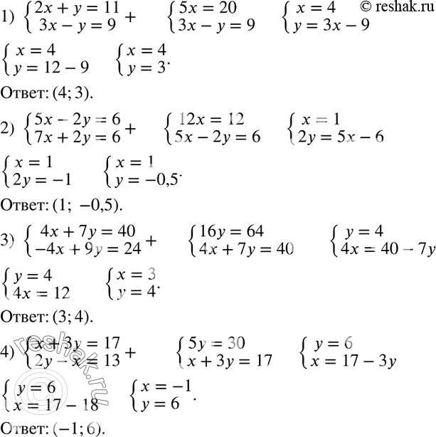
Способом алгебраического сложения решить систему уравнений: 1) {(2x+y=11 3x-y=9)+ 2) {(5x-2y=6 7x+2y=6)+ 3) {(4x+7y=40 -4x+9y=24)+ 4) {(x+3y=17 2y-x=13)+ Чтобы попасть из города A в город B, нужно по дороге доехать до реки, а затем переправиться на другой берег.


Ниже вариант решения задания из учебника Колягин, Ткачёва, Фёдорова 7 класс, Просвещение:
Способом алгебраического сложения решить систему уравнений:
1) {(2x+y=11
3x-y=9)+
2) {(5x-2y=6
7x+2y=6)+
3) {(4x+7y=40
-4x+9y=24)+
4) {(x+3y=17
2y-x=13)+
Чтобы попасть из города A в город B, нужно по дороге доехать до реки, а затем переправиться на другой берег. До реки можно доехать на мотоцикле, на автобусе, на автомобиле или дойти пешком. Через какую реку можно переправиться либо вплавь, либо переплыть на лодке, либо - на пароме. Сколько существует различных способом добраться из города A в город B?
