Упражнение 707 ГДЗ Колягин Ткачёва 7 класс (Алгебра)
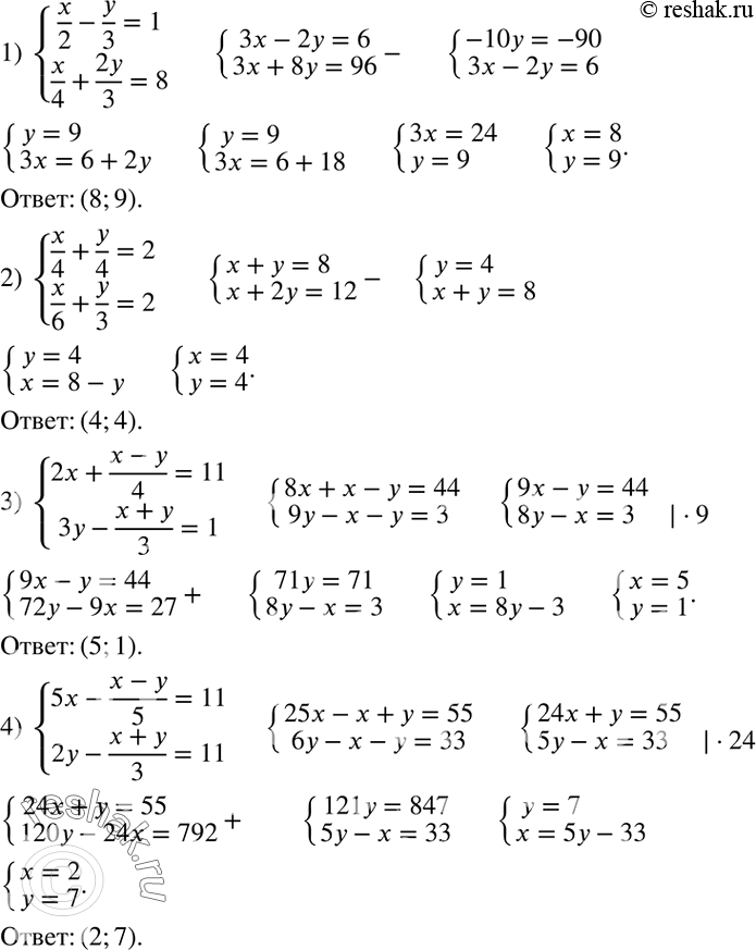
Способом алгебраического сложения решить систему уравнений: 1) {(x/2-y/3=1 x/4+2y/3=8)+ 2) {(x/4+y/4=2 x/6+y/3=2)+ 3) {(2x+(x-y)/4=11 3y-(x+y)/3=1)+ 4) {(5x-(x-y)/5=11 2y-(x+y)/3=11)+ В ларьке продается пять видов мороженого (не менее двух брикетов каждого вида).


Ниже вариант решения задания из учебника Колягин, Ткачёва, Фёдорова 7 класс, Просвещение:
Способом алгебраического сложения решить систему уравнений:
1) {(x/2-y/3=1
x/4+2y/3=8)+
2) {(x/4+y/4=2
x/6+y/3=2)+
3) {(2x+(x-y)/4=11
3y-(x+y)/3=1)+
4) {(5x-(x-y)/5=11
2y-(x+y)/3=11)+
В ларьке продается пять видов мороженого (не менее двух брикетов каждого вида). Оля и Таня покупают по одному брикету. Сколько существует вариантов такой покупки?
