Упражнение 750 ГДЗ Колягин Ткачёва 7 класс (Алгебра)
Турист выехал из города A и должен приехать в город B в назначенный срок. Если он будет ехать со скоростью 35 км/ч, то опоздает на 2 ч;


Ниже вариант решения задания из учебника Колягин, Ткачёва, Фёдорова 7 класс, Просвещение:
Турист выехал из города A и должен приехать в город B в назначенный срок. Если он будет ехать со скоростью 35 км/ч, то опоздает на 2 ч; если он будет ехать со скоростью 50 км/ч, то приедет на час раньше срока. Определить расстояние между городами A и B и время, затраченное туристом на путь из города A в город B, если он прибыл в назначенный срок.
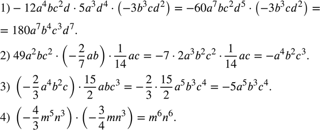
Найти произведение одночленов:
1)-12a^4 bc^2 d•5a^3 d^4•(-3b^3 cd^2 );
2) 49a^2 bc^2•(-2/7 ab)•1/14 ac;
3) (-2/3 a^4 b^2 c)•15/2 abc^3;
4) (-4/3 m^5 n^3 )•(-3/4 mn^3 ).
