Упражнение 755 ГДЗ Колягин Ткачёва 7 класс (Алгебра)
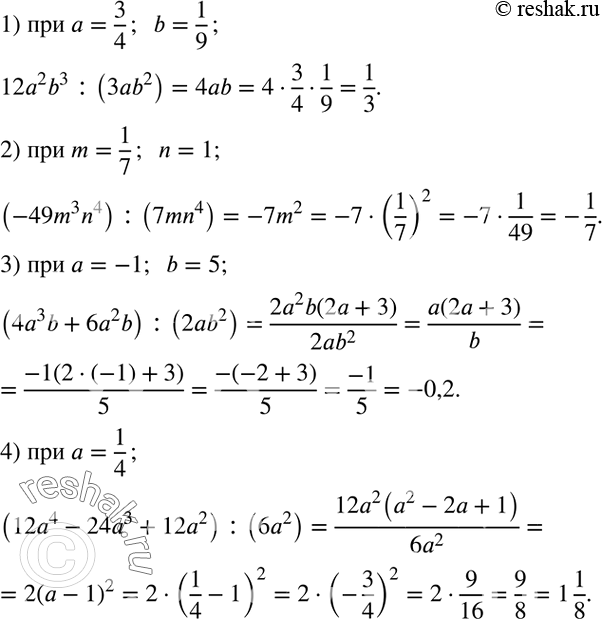
Решить систему уравнений: 1) {(1/x+1/y=7/12 2/y-1/x=1/6)+ 2) {(1/x+5/y=35 3/x+2/x=27)+ 3) {(3/(x+y)+5/(x-y)=4 1/(x+y)+15/(x-y)=4)+ 4) {(10/(x+y)-4/(x-y)=3 7/(x+y)-6/(x-y)=2)+ Найти значение выражения: 1) 12a^2 b^3 :(3ab^2 ) при a=3/4;




Ниже вариант решения задания из учебника Колягин, Ткачёва, Фёдорова 7 класс, Просвещение:
Решить систему уравнений:
1) {(1/x+1/y=7/12
2/y-1/x=1/6)+
2) {(1/x+5/y=35
3/x+2/x=27)+
3) {(3/(x+y)+5/(x-y)=4
1/(x+y)+15/(x-y)=4)+
4) {(10/(x+y)-4/(x-y)=3
7/(x+y)-6/(x-y)=2)+
Найти значение выражения:
1) 12a^2 b^3 :(3ab^2 ) при a=3/4; b=1/9;
2) (-49m^3 n^4 ) :(7mn^4 ) при m=1/7; n=1;
3) (4a^3 b+6a^2 b) :(2ab^2 ) при a=-1; b=5;
4) (12a^4-24a^3+12a^2 ) :(6a^2 ) при a=1/4.
