Упражнение 751 ГДЗ Колягин Ткачёва 7 класс (Алгебра)
Для детской музыкальной школы решили приобрести 4 баяна и 3 аккордеона на сумму 1 326 000 р. Спонсор оплатил 30 % стоимости каждого аккордеона, и школе осталось заплатить 1 101 000 р.


Ниже вариант решения задания из учебника Колягин, Ткачёва, Фёдорова 7 класс, Просвещение:
Для детской музыкальной школы решили приобрести 4 баяна и 3 аккордеона на сумму 1 326 000 р. Спонсор оплатил 30 % стоимости каждого аккордеона, и школе осталось заплатить 1 101 000 р. Сколько денег заплатила школа за каждый баян и за каждый аккордеон?
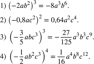
Возвести одночлен в степень:
1) (-2ab^2 )^3;
2) (-0,8ac^2 )^2;
3) (-3/5 abc^3 )^3;
4) (-1/2 ab^2 c^3 )^4.
