Упражнение 754 ГДЗ Колягин Ткачёва 7 класс (Алгебра)
Во всех строках некоторой страницы книги одинаковое число букв. Если на этой странице уменьшить число строк на 4, а число букв в строке на 5, то число букв на всей странице уменьшится на 360.


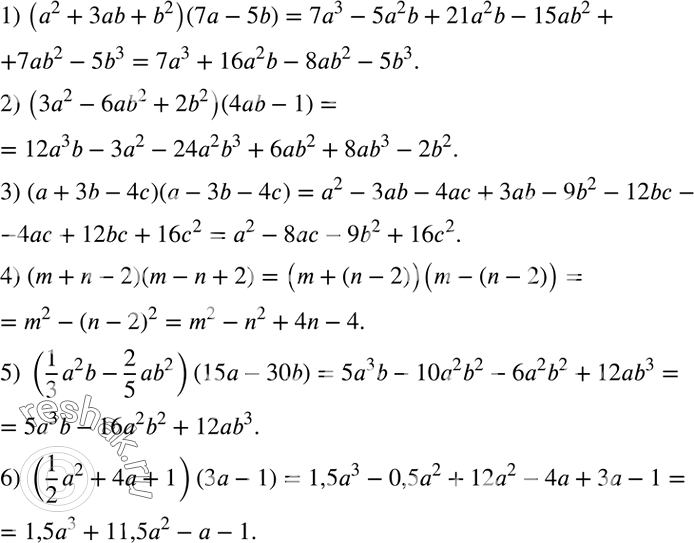
Ниже вариант решения задания из учебника Колягин, Ткачёва, Фёдорова 7 класс, Просвещение:
Во всех строках некоторой страницы книги одинаковое число букв. Если на этой странице уменьшить число строк на 4, а число букв в строке на 5, то число букв на всей странице уменьшится на 360. Если же на странице увеличить число строк на 3, а число букв в строке на 2, то на странице поместится на 228 букв больше, чем было. Определить число строк и число букв в строке на этой странице книги.
Выполнить умножение многочленов:
1) (a^2+3ab+b^2 )(7a-5b);
2) (3a^2-6ab^2+2b^2 )(4ab-1);
3) (a+3b-4c)(a-3b-4c);
4) (m+n-2)(m-n+2);
5) (1/3 a^2 b-2/5 ab^2 )(15a-30b);
6) (1/2 a^2+4a+1)(3a-1).
