Упражнение 752 ГДЗ Колягин Ткачёва 7 класс (Алгебра)
Две бригады лесорубов заготовили в декабре 900 кубометров дров. В январе первая бригада заготовила на 15 %, а вторая - на 12 % больше, чем в декабре, и поэтому обе бригады вместе заготовили за это время 1020 кубометров дров.


Ниже вариант решения задания из учебника Колягин, Ткачёва, Фёдорова 7 класс, Просвещение:
Две бригады лесорубов заготовили в декабре 900 кубометров дров. В январе первая бригада заготовила на 15 %, а вторая - на 12 % больше, чем в декабре, и поэтому обе бригады вместе заготовили за это время 1020 кубометров дров. Сколько кубометров дров заготовила каждая бригада в январе?
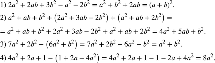
Упростить выражение:
1) 2a^2+2ab+3b^2-a^2-2b^2;
2) a^2+ab+b^2+(2a^2+3ab-2b^2 )+(a^2+ab+2b^2 );
3) 7a^2+2b^2-(6a^2+b^2 );
4) 4a^2+2a+1-(1+2a-4a^2 ).
