Упражнение 753 ГДЗ Колягин Ткачёва 7 класс (Алгебра)
Сад имеет форму прямоугольника. Если увеличить длину сада на 8 м, а ширину на 6 м, то площадь сада увеличится на 632 м^2.


Ниже вариант решения задания из учебника Колягин, Ткачёва, Фёдорова 7 класс, Просвещение:
Сад имеет форму прямоугольника. Если увеличить длину сада на 8 м, а ширину на 6 м, то площадь сада увеличится на 632 м^2. Если же длину сада уменьшить на 6 м, а ширину увеличить на 8 м, то площадь сада увеличится на 164 м^2. Определить длину и ширину сада.
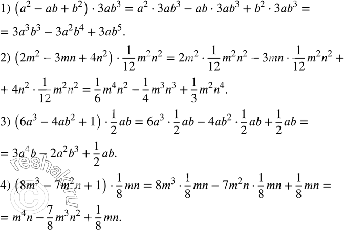
Выполнить умножение многочлена на одночлен:
1) (a^2-ab+b^2 )•3ab^3;
2) (2m^2-3mn+4n^2 )•1/12 m^2 n^2;
3) (6a^3-4ab^2+1)•1/2 ab;
4) (8m^3-7m^2 n+1)•1/8 mn.
