Упражнение 756 ГДЗ Колягин Ткачёва 7 класс (Алгебра)
Антикварный магазин, купив две старинные вазы на общую сумму 360 000 р., продал их, получив 25 % прибыли. За сколько была продана каждая ваза, если наценка на первую вазу была 50 %, а на вторую — 12,5 %?Упростить:


Ниже вариант решения задания из учебника Колягин, Ткачёва, Фёдорова 7 класс, Просвещение:
Антикварный магазин, купив две старинные вазы на общую сумму 360 000 р., продал их, получив 25 % прибыли. За сколько была продана каждая ваза, если наценка на первую вазу была 50 %, а на вторую — 12,5 %?
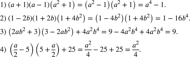
Упростить:
1) (a+1)(a-1)(a^2+1);
2) (1-2b)(1+2b)(1+4b^2 );
3) (2ab^2+3)(3-2ab^2 )+4a^2 b^4;
4) (a/2-5)(5+a/2)+25.
