Упражнение 757 ГДЗ Колягин Ткачёва 7 класс (Алгебра)
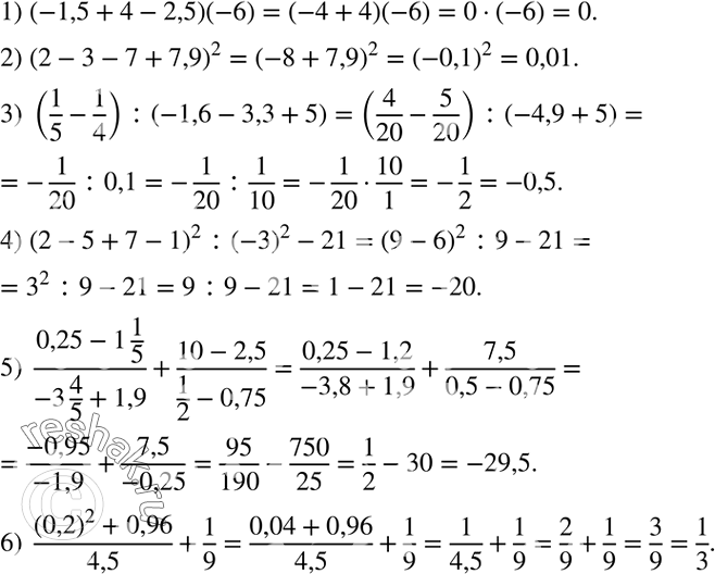
Найти значение числового выражения: 1) (-1,5+4-2,5)(-6); 2) (2-3-7+7,9)^2; 3) (1/5-1/4) :(-1,6-3,3+5); 4) (2-5+7-1)^2 :(-3)^2-21; 5) (0,25-1 1/5)/(-3 4/5+1,9)+(10-2,5)/(1/2-0,75); 6) ((0,2)^2+0,96)/4,5+1/9. Упростить:


Ниже вариант решения задания из учебника Колягин, Ткачёва, Фёдорова 7 класс, Просвещение:
Найти значение числового выражения:
1) (-1,5+4-2,5)(-6);
2) (2-3-7+7,9)^2;
3) (1/5-1/4) :(-1,6-3,3+5);
4) (2-5+7-1)^2 :(-3)^2-21;
5) (0,25-1 1/5)/(-3 4/5+1,9)+(10-2,5)/(1/2-0,75);
6) ((0,2)^2+0,96)/4,5+1/9.
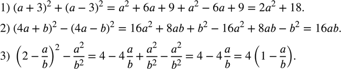
Упростить:
1) (a+3)^2+(a-3)^2;
2) (4a+b)^2-(4a-b)^2;
3) (2-a/b)^2-a^2/b^2 .
