Упражнение 758 ГДЗ Колягин Ткачёва 7 класс (Алгебра)
Сумма двух чисел равна 30. Одно из чисел a. Записать удвоенное произведение этих чисел. Вычислить значение этого произведения при a=-2.Разложить на множители:


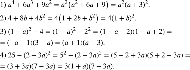
Ниже вариант решения задания из учебника Колягин, Ткачёва, Фёдорова 7 класс, Просвещение:
Сумма двух чисел равна 30. Одно из чисел a. Записать удвоенное произведение этих чисел. Вычислить значение этого произведения при a=-2.
Разложить на множители:
1) a^4+6a^3+9a^2;
2) 4+8b+4b^2;
3) (1-a)^2-4;
4) 25-(2-3a)^2.
