Упражнение 762 ГДЗ Колягин Ткачёва 7 класс (Алгебра)
Решить уравнение: 1) 2(x-1)=3(2x-1); 2) 3(1-x)=4x-11; 3) 3-5(x-1)=x-2; 4) 3(x-2)-2(x-1)=17. Выполнить действия: 1) a/(a^2-1)-1/(1-a^2 ); 2) 3y/(4x^2-9y^2 )+2x/(9y^2-4x^2 ); 3) 1+3a+(9a^2)/(1+3a)+1/(3a-1)+6a/(1-9a^2 );


Ниже вариант решения задания из учебника Колягин, Ткачёва, Фёдорова 7 класс, Просвещение:
Решить уравнение:
1) 2(x-1)=3(2x-1);
2) 3(1-x)=4x-11;
3) 3-5(x-1)=x-2;
4) 3(x-2)-2(x-1)=17.
Выполнить действия:
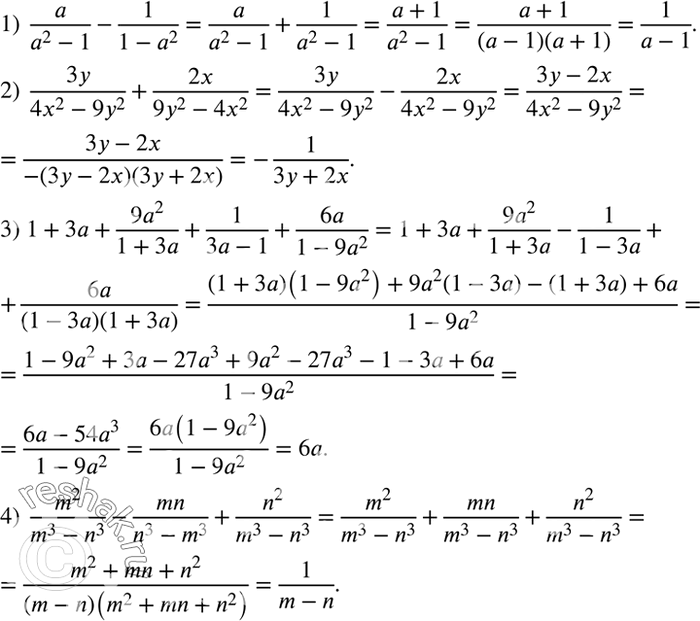
1) a/(a^2-1)-1/(1-a^2 );
2) 3y/(4x^2-9y^2 )+2x/(9y^2-4x^2 );
3) 1+3a+(9a^2)/(1+3a)+1/(3a-1)+6a/(1-9a^2 );
4) m^2/(m^3-n^3 )-mn/(n^3-m^3 )+n^2/(m^3-n^3 ).
