Упражнение 761 ГДЗ Колягин Ткачёва 7 класс (Алгебра)
Найти числовое значение алгебраического выражения: 1) (2a+b)/(b-2a) при a=-1/2, b=-3; 2) (4a^2-1)/(2a+1) при a=1/2. Выполнить действия: 1) 1+a-(a-1)/a+(a^2-1)/2a-3a/2; 2) (a^2-3b^2)/(ab^3 )+2/ab+(ab+b^2)/(a^2 b^2 );


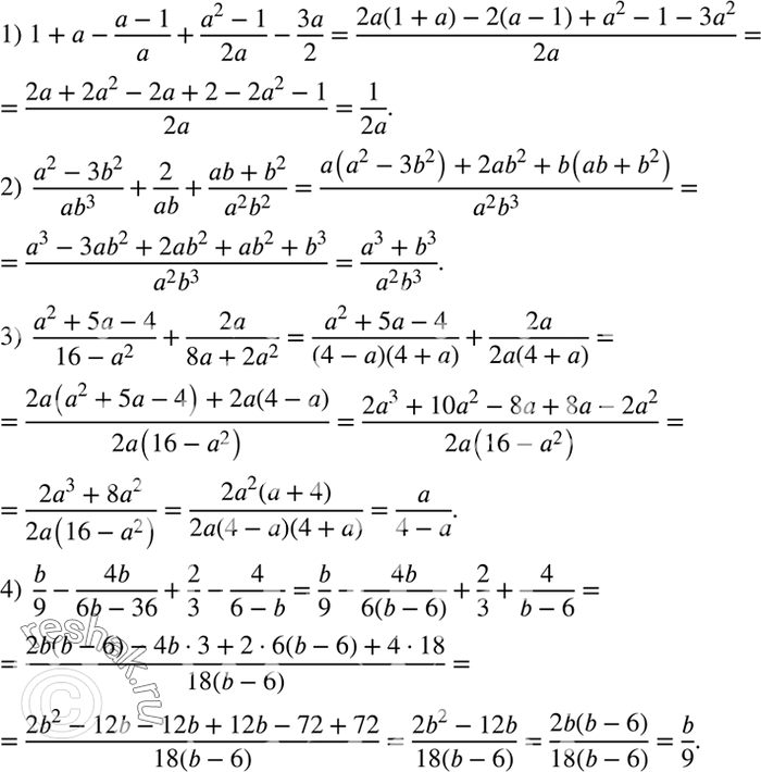
Ниже вариант решения задания из учебника Колягин, Ткачёва, Фёдорова 7 класс, Просвещение:
Найти числовое значение алгебраического выражения:
1) (2a+b)/(b-2a) при a=-1/2, b=-3;
2) (4a^2-1)/(2a+1) при a=1/2.
Выполнить действия:
1) 1+a-(a-1)/a+(a^2-1)/2a-3a/2;
2) (a^2-3b^2)/(ab^3 )+2/ab+(ab+b^2)/(a^2 b^2 );
3) (a^2+5a-4)/(16-a^2 )+2a/(8a+2a^2 );
4) b/9-4b/(6b-36)+2/3-4/(6-b).
