Упражнение 760 ГДЗ Колягин Ткачёва 7 класс (Алгебра)
Сколько граммов содержат a килограммов и c граммов? Ответ записать выражением.Выполнить действия: 1) (a-b)/ab-(a-c)/ac; 2) 1/a^2 +1/(ab^2 )+1/(a^2 b); 3) 1/(14x^3 )-1/(21x^2 y)-1/(4xy^2 );


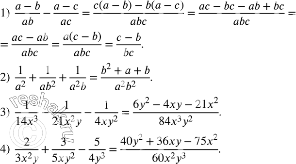
Ниже вариант решения задания из учебника Колягин, Ткачёва, Фёдорова 7 класс, Просвещение:
Сколько граммов содержат a килограммов и c граммов? Ответ записать выражением.
Выполнить действия:
1) (a-b)/ab-(a-c)/ac;
2) 1/a^2 +1/(ab^2 )+1/(a^2 b);
3) 1/(14x^3 )-1/(21x^2 y)-1/(4xy^2 );
4) 2/(3x^2 y)+3/(5xy^2 )-5/(4y^3 ).
