Упражнение 759 ГДЗ Колягин Ткачёва 7 класс (Алгебра)
Составить выражение, показывающее, сколько единиц содержится в натуральном числе, состоящем из a сотен, b десятков и c единиц. Сколько единиц в числе, написанном теми же цифрами, но в обратном порядке.Сократить дробь:


Ниже вариант решения задания из учебника Колягин, Ткачёва, Фёдорова 7 класс, Просвещение:
Составить выражение, показывающее, сколько единиц содержится в натуральном числе, состоящем из a сотен, b десятков и c единиц. Сколько единиц в числе, написанном теми же цифрами, но в обратном порядке.
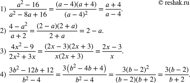
Сократить дробь:
1) (a^2-16)/(a^2-8a+16);
2) (4-a^2)/(a+2);
3) (4x^2-9)/(2x^2+3x);
4) (3b^2-12b+12)/(b^2-4).
