Упражнение 770 ГДЗ Колягин Ткачёва 7 класс (Алгебра)
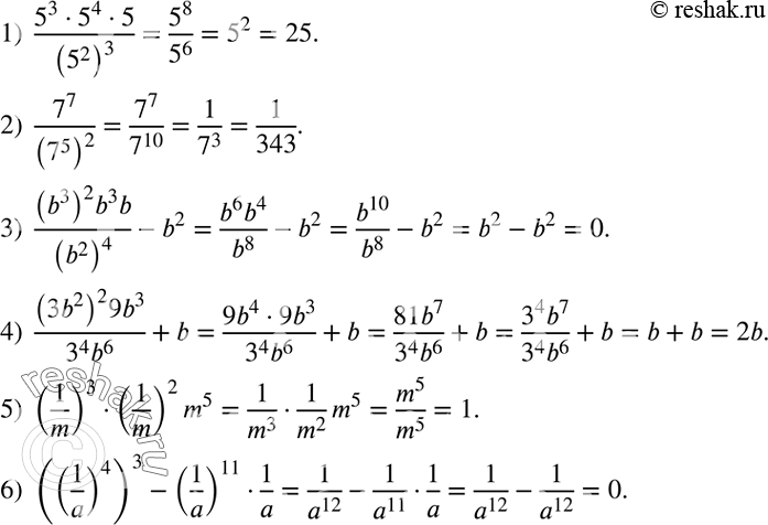
Упростить: 1) (5^3•5^4•5)/(5^2 )^3 ; 2) 7^7/(7^5 )^2 ; 3) ((b^3 )^2 b^3 b)/(b^2 )^4 -b^2; 4) ((3b^2 )^2 9b^3)/(3^4 b^6 )+b;


Ниже вариант решения задания из учебника Колягин, Ткачёва, Фёдорова 7 класс, Просвещение:
Упростить:
1) (5^3•5^4•5)/(5^2 )^3 ;
2) 7^7/(7^5 )^2 ;
3) ((b^3 )^2 b^3 b)/(b^2 )^4 -b^2;
4) ((3b^2 )^2 9b^3)/(3^4 b^6 )+b;
5) (1/m)^3•(1/m)^2 m^5;
6) ((1/a)^4 )^3-(1/a)^11•1/a.
Найти координаты точек пересечения прямой с осями координат:
1) y=7x+4;
2) y=-7x+4;
3) y=3,5x-1;
4) y=-3,5x+1.
