Упражнение 774 ГДЗ Колягин Ткачёва 7 класс (Алгебра)
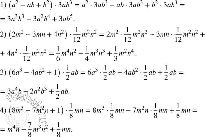
Выполнить умножение многочлена на одночлен: 1) (a^2-ab+b^2 )•3ab^3; 2) (2m^2-3mn+4n^2 )•1/12 m^2 n^2; 3) (6a^3-4ab^2+1)•1/2 ab; 4) (8m^3-7m^2 n+1)•1/8 mn. Решить систему уравнений:



Ниже вариант решения задания из учебника Колягин, Ткачёва, Фёдорова 7 класс, Просвещение:
Выполнить умножение многочлена на одночлен:
1) (a^2-ab+b^2 )•3ab^3;
2) (2m^2-3mn+4n^2 )•1/12 m^2 n^2;
3) (6a^3-4ab^2+1)•1/2 ab;
4) (8m^3-7m^2 n+1)•1/8 mn.
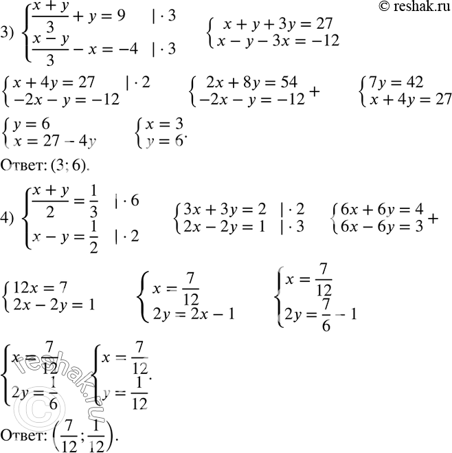
Решить систему уравнений:
1) {(x/5+y/2=5
x/4-y/5=0,5)+
2) {(2x/3-5y/4=-3
5x/6-7y/8=-1)+
3) {((x+y)/3+y=9
(x-y)/3-x=-4)+
4) {((x+y)/2=1/3
x-y=1/2)+
