Упражнение 775 ГДЗ Колягин Ткачёва 7 класс (Алгебра)
Выполнить умножение многочленов: 1) (a^2+3ab+b^2 )(7a-5b); 2) (3a^2-6ab^2+2b^2 )(4ab-1); 3) (a+3b-4c)(a-3b-4c); 4) (m+n-2)(m-n+2); 5) (1/3 a^2 b-2/5 ab^2 )(15a-30b); 6) (1/2 a^2+4a+1)(3a-1).



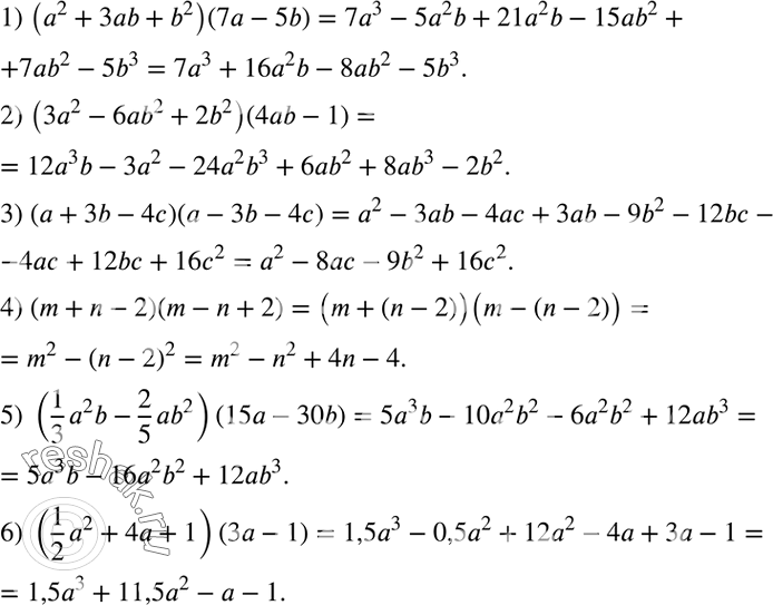
Ниже вариант решения задания из учебника Колягин, Ткачёва, Фёдорова 7 класс, Просвещение:
Выполнить умножение многочленов:
1) (a^2+3ab+b^2 )(7a-5b);
2) (3a^2-6ab^2+2b^2 )(4ab-1);
3) (a+3b-4c)(a-3b-4c);
4) (m+n-2)(m-n+2);
5) (1/3 a^2 b-2/5 ab^2 )(15a-30b);
6) (1/2 a^2+4a+1)(3a-1).
Решить графически систему уравнений:
1) {(2x+5y=1
y=1)+
2) {(x+y=2
2x+y=0)+
3) {(3x+2y=1
5x-2y=7)+
4) {(4x-5y-7=0
2x-8y+2=0)+
