Упражнение 766 ГДЗ Колягин Ткачёва 7 класс (Алгебра)
В трех коробках 119 карандашей. В первой коробке на 4 карандаша больше, чем во второй, и на 3 карандаша меньше, чем в третьей.


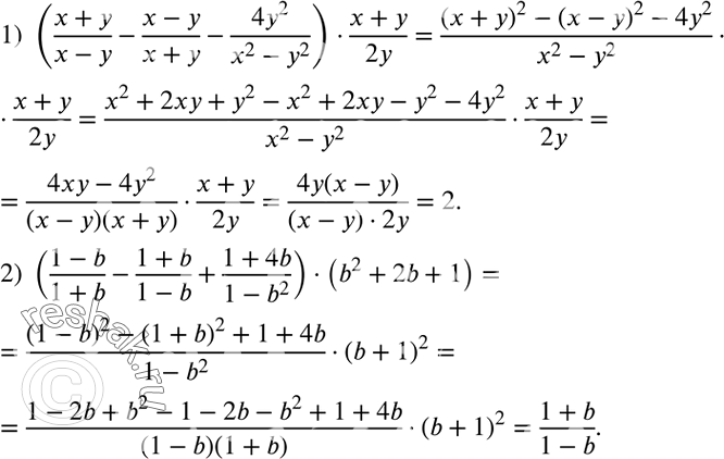
Ниже вариант решения задания из учебника Колягин, Ткачёва, Фёдорова 7 класс, Просвещение:
В трех коробках 119 карандашей. В первой коробке на 4 карандаша больше, чем во второй, и на 3 карандаша меньше, чем в третьей. Сколько карандашей в каждой коробке?
Выполнить действия:
1) ((x+y)/(x-y)-(x-y)/(x+y)-(4y^2)/(x^2-y^2 ))•(x+y)/2y;
2) ((1-b)/(1+b)-(1+b)/(1-b)+(1+4b)/(1-b^2 ))•(b^2+2b+1).
