Упражнение 765 ГДЗ Колягин Ткачёва 7 класс (Алгебра)
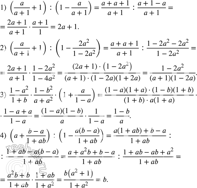
Решить уравнение: 1) (6x+7)/7+(3+5x)/8=3; 2) (2x-4)/5+(2x-1)/3=1; 3) 5-(2x-5)/3=(4x+2)/3; 4) (x-5)/5=(2x+1)/3-7. Выполнить действия: 1) (a/(a+1)+1) :(1-a/(a+1)); 2) (a/(a+1)+1) :(1-(2a^2)/(1-2a^2 )); 3) (1-a^2)/(1+b)•(1-b^2)/(a+a^2 )•(1+a/(1-a));


Ниже вариант решения задания из учебника Колягин, Ткачёва, Фёдорова 7 класс, Просвещение:
Решить уравнение:
1) (6x+7)/7+(3+5x)/8=3;
2) (2x-4)/5+(2x-1)/3=1;
3) 5-(2x-5)/3=(4x+2)/3;
4) (x-5)/5=(2x+1)/3-7.
Выполнить действия:
1) (a/(a+1)+1) :(1-a/(a+1));
2) (a/(a+1)+1) :(1-(2a^2)/(1-2a^2 ));
3) (1-a^2)/(1+b)•(1-b^2)/(a+a^2 )•(1+a/(1-a));
4) (a+(b-a)/(1+ab)) :(1-a(b-a)/(1+ab)).
